Stpm Math T Sem 1 Notes


Stpm Mathematics T Semester 1 Notes Stpm Informasion


Pro A Tuition Centre Stpm Math T Semester 1 1 1 Function


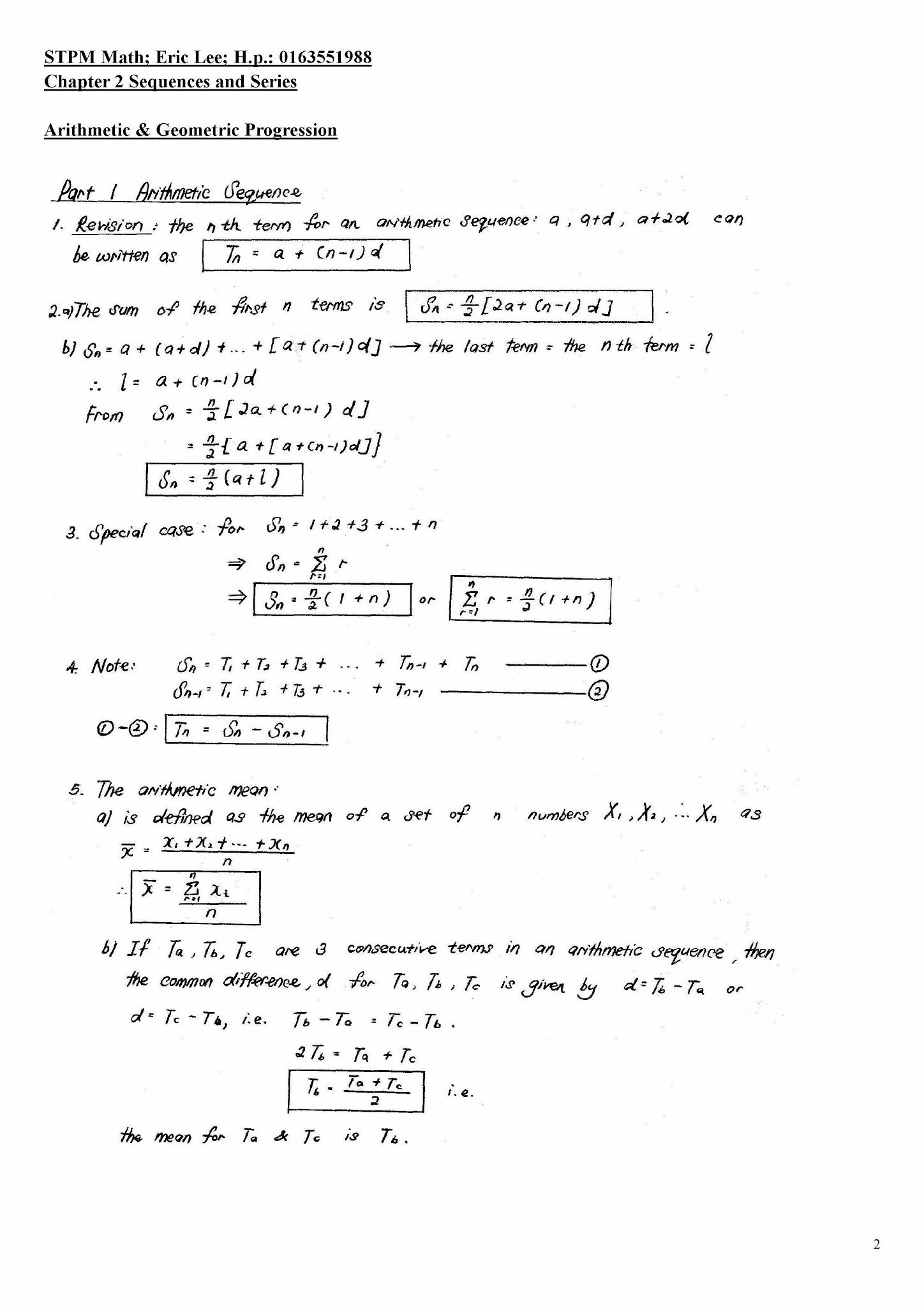
Pro A Tuition Centre Stpm Math T Semester 1 2 1 Sequences And Series


Pro A Tuition Centre Stpm Math T Semester 1 1 1 Function


Pro A Tuition Centre Stpm Math T Semester 1 1 1 Function

Post a Comment

0 Comments

Ad Code